Work and Power Physics in real life?

The words work and power are used to describe many different things. The creator of this web page hopes to convey one application, which lies in the realm of physics, of the ambiguous terms, work and power.

WORK

Definition:

Work is done when a force is applied over some distance. W=F*d (where W is work, F is force, and d is distance) is the general equation used to find work.

Things to keep in mind:

wIn order to do work on an object, the object has to move. So, holding something in mid-air is not doing work.

wOnly the component of the force vector that is parallel to the distance for which it is applied determines work. Trig functions are useful; force multiplied by the cosine of the angle it makes with the direction of movement is a common method of finding components.

wWork is a scalar value. Although vector values are used to find work, the dot product of the force and direction vectors determines work, and dot products result in scalar values.

wWork is measured with some of the same units as energy. Important ones are Newton-meters (N*m) or joules (J); dyne-centimeters or ergs; and foot-pounds (ft*lb) or foot-pounds.

Scenario:

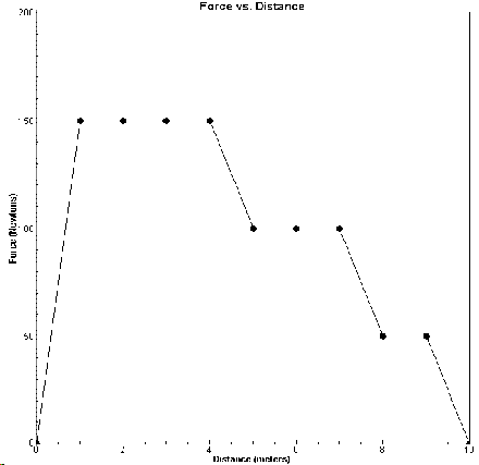
A person pushes some object, let's say a desk across the floor. (Don't worry, the force they are applying is parallel to the floor.) Below is a chart of the data and a graph of the force vs.distance. Distance is in the first column and plotted along the horizontal axis. Force is in the second column and plotted on the vertical axis. The area under this graph is the amount of work done, which adds up to 1000 J. So, the person does a total of 1000 J of work on the desk.

Distance (meters)

Force (Newtons)

0
1.0
2.0
3.0
4.0
5.0
6.0
7.0
8.0
9.0
10

0
150
150
150
150
100
100

100
50
50
0

 

Problem:

I put a 25 N force on the books in the picture below and moved them 50cm. My arm is at an angle of 30 degrees to the horizontal. How much work was done on the books?


 

Solution:

W=F*d is the necessary equation, but since the force isn't parallel to the distance, W=F*(cos 30)*d is the equation to use. (Cosine finds the horizontal component.) In addition, it is helpful to change the 50cm to meters since the common unit of work is the joule or N*m. 25*(cos30)*0.5=10.8, or 11 J of work.

Work-Energy Theorem:

So, why are work and energy measured in the same units? The work-energy theorem or principle says that the net work done on an object is equal to its change in kinetic energy. In a way this is a definition for kinetic energy, but it also shows the relationship between work and energy. If the net work done on an object is positive, then the object's kinetic energy increases. If net work is negative, then kinetic energy decreases, and if net work is zero, then the kinetic energy is constant.

POWER

Definition:

Average power is the rate at which work is done, or work divided by change in time. It can also be determined by multiplying Force and velocity.

Things to keep in mind:

wThe two definitions from above are equivalent:

W/t = F*d/t and d/t = v

So, W/t = F*v.

wUnits for power include joules/second or watts, foot-pounds/second, and horsepower. (See history below)

wPower is different than energy. A person can expend much energy, or do lots of work. But, if a person does much work in a short period of time, then he/she will become tired quickly, because more power is required. Energy doesn't have the limitations which power, the rate of work being done, might.

Problem:

What is the average power expended in the system of pushing a desk from above if the 1000 J of work were expended over 10 seconds?

Solution:

Avg. Power = W/t = 1000/10 = 100 Watts

History Lesson:

James Watt (1736-1819) is an important figure of history. He developed steam engines which were significant in the growth of industry and transportation in his country, England and eventually around the world. He defined the units of power. A Watt (W) is a J/s. Through experiments, he determined that a good horse could work at a rate of 360 ft*lbs/s and multiplied it by 1.5 to define another unit of power, the horsepower (hp). It is 550 ft*lbs/s. And, one horsepower is equivalent to 746 W.




James Watt, cool guy

Real world:

Power is related to things beyond physics class. The amount of power that light bulbs require is measured in watts. An engine's power capabilities are measured in horsepower.


                                                        

If you would like to know more about these things or physics in general, I have included links to other web sites that might be beneficial:

http://pnstgw.pns.anl.gov/physics.htm
http://www.gwi.net/~eiko/physicsguy.htm
http://www.colorado.edu/physics/2000/
http://www.cyberenet.net/~hodges/fizzix/
http://www.physics.uoguelph.ca/tutorials/tutorials.html
http://www.virtualprof.com/index.html
http://www-sci.lib.uci.edu/SEP/physical.html
http://www.phys.virginia.edu/Education/Teaching/HowThingsWork/

About the author:

I am a senior at Fayetteville High School. I created this web page to meet a requirement of my AP Physics B course. The class is taught by Mr. David A. Young who is also the FASST coordinator. If you have questions, I think it would be a good idea to send them to the instigator of this web page, Mr. David A. Young. He can be contacted at:

dayoung@ecs1.nwsc.k12.ar.us

But, I can be contacted at:

c_white@ecs1.nwsc.k12.ar.us or
cmw08@comp.uark.edu

Back to FASST