
 
 
The Greatest Class On Earth
(I’m Sucking Up a Lot Here)
 
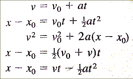
Fundamental Equations Concerning Bodies
Experiencing Constant Acceleration:

What are the above equations you ask? 
Well, Wouldn’t you like to know…
Hint:
v =
Velocity
Vo =
Initial Velocity
a =
Acceleration
t  = Time
They all help us find an unknown when an object travels in a straight line and experiences a constant Acceleration. As you may have noticed, each equation is missing one variable. This is because the last three of these were derived from the first two. One can solve the first equation for (Vo) and plug that into the second equation in order to create the fifth equation. The first equation can also be solved for (a), and that can be plugged into the second equation to create the fourth equation. One can solve for (t) in order to create the third equation. As you see, these all come from the first two,
 
BUT
WHERE DO THE FIRST TWO COME FROM?
Because we’ve said that Acceleration is constant, it is also just the average
change in velocity over time.  You
subtract the original velocity from the final velocity, and divide by time, and
you’ve got your average change in velocity.  This also gives you the First Equation.
WOOOOOOOOOHOOOOOOO
The second equation can be found bye substituting the first equation, the equation for average velocity, and the equation for distance traveled with a constant velocity. This step is much more algebraic, but I assure you, it works.
Also
Very Nice