Learning Physics with Experimentation Using Cars
By: John Hayward
Found in Mr. Young’s home page
Introduction:
Using Cars To Learn Physics:
The most common used formula for cars in motion is (y=ax+b), a linear formula. The (a) stands for the slope of a line on a graph; in this case it is the constant velocity of a car (meters per second). The (x) is the horizontal axis on a graph, as the (y) is the vertical axis, and the (b) states how far the car goes or how close it gets if started at a further point.
One
example that describes this formula is a car moving toward an object at a
constant velocity of .5 m/s, starting from 5 meters away. The formula for this
would be, y=-.5x+5. The negative is used because the car is moving towards the
object making it a negative velocity.
In
order to find the velocity of this car data is needed, but it will most likely
be given to you in a chart form, for example:
|
Time
(seconds) |
Distance
(meters) |
|
0 |
5 |
|
1 |
4.5 |
|
2 |
4 |
|
3 |
3.5 |
|
4 |
3 |
|
5 |
2.5 |
|
6 |
2 |
|
7 |
1.5 |
|
8 |
1 |
|
9 |
.5 |
|
10 |
0 |
After
the data is found, then it is time for the formula. The formula for this data
is listed below.

You
can figure out the formula by looking at the plot graph made by the data, the
graph is shown below.

On the y-axis the
distance is shown in meters, 1 dash = .5 meters. On the x-axis (horizontal) the time is shown, 1 dash = 1 second.
Now, as the car travels every .5 meters, one second goes by. That is what gives
you the formula. The formula for this data is listed below.

After the formula is found then the graph ends
up looking like this:

And
the graph tells you how long it took the car to move five meters, and what the
constant velocity is.
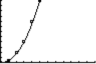
There is another formula used that is not
linear and has to do with acceleration, wich that is y=a(x-b)^2. The letters
stand for the same thing as in the first formula. Lets say a car is at the top
of a ramp going down it starting at 0 m/s and accelerating to 2 m/s; with the
data showing:
|
Time
(seconds) |
Distance
(meters) |
|
0 |
0 |
|
1 |
.2 |
|
2 |
1 |
|
3 |
2 |
|
4 |
4 |
|
5 |
6 |
|
6 |
7.8 |
Then the plotted
graph ends up looking like this:

and after putting in
the formula that closest fits the line, which is:

The graph ends up looking like this:

Try this PROBLEM!:
Question:
Give the equastion, graph, and state an event that would produce the patern
of the graph you made using this data:
|
Time
(seconds) |
Distance
(meters) |
|
0 |
0 |
|
1 |
.4 |
|
2 |
.8 |
|
3 |
1.2 |
|
4 |
1.6 |
|
5 |
2 |
|
6 |
2.4 |
Answer: Event: A
car moving at a constant velocity of ,40 m/s, that started 0 meters away from a
CBR.
Equation: y=ax+b – y=.4x+0
Graph:

Now,
to get the graph you have to enter the data chart into the chart on your calculator.
Remember the left collum is (x), time; and the right collum is (y), distance.
Then enter the equation into the y= chart then press graph, and you should come
up with the same graph as me.
Other Links To Check Out:
If you are interested in more Physics, then
check out these sites.
http://www.fayar.net/east/teacher.web/math/young/APPC/JULIO/julio2.htm
Conservation - Ahn
http://www.stvincent.ac.uk/Resources/Physics/Speed/speed/formulae.html
http://www.saburchill.com/physics/chapters/0001.html
http://www.pvpud.k12.cars .us/instruct/stds/physics.pdf